Modeler auto-layout

XMLWordPrintable

    • Type: Feature Request
    • Resolution: Won't Fix
    • Priority: L3 - Default
    • None
    • Affects Version/s: None
    • None

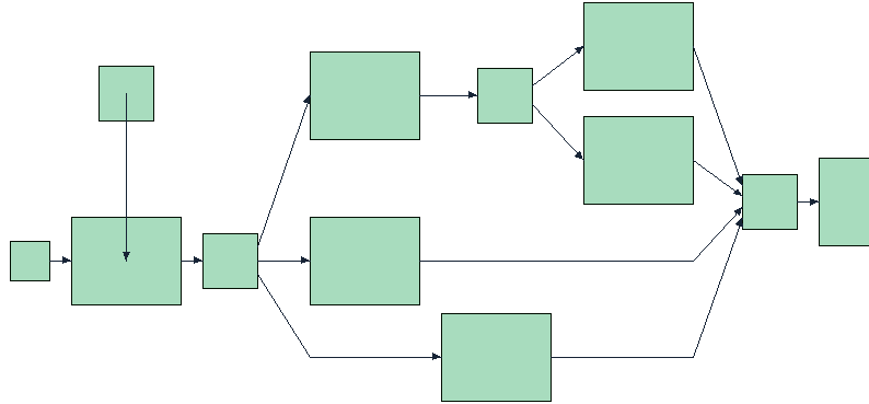
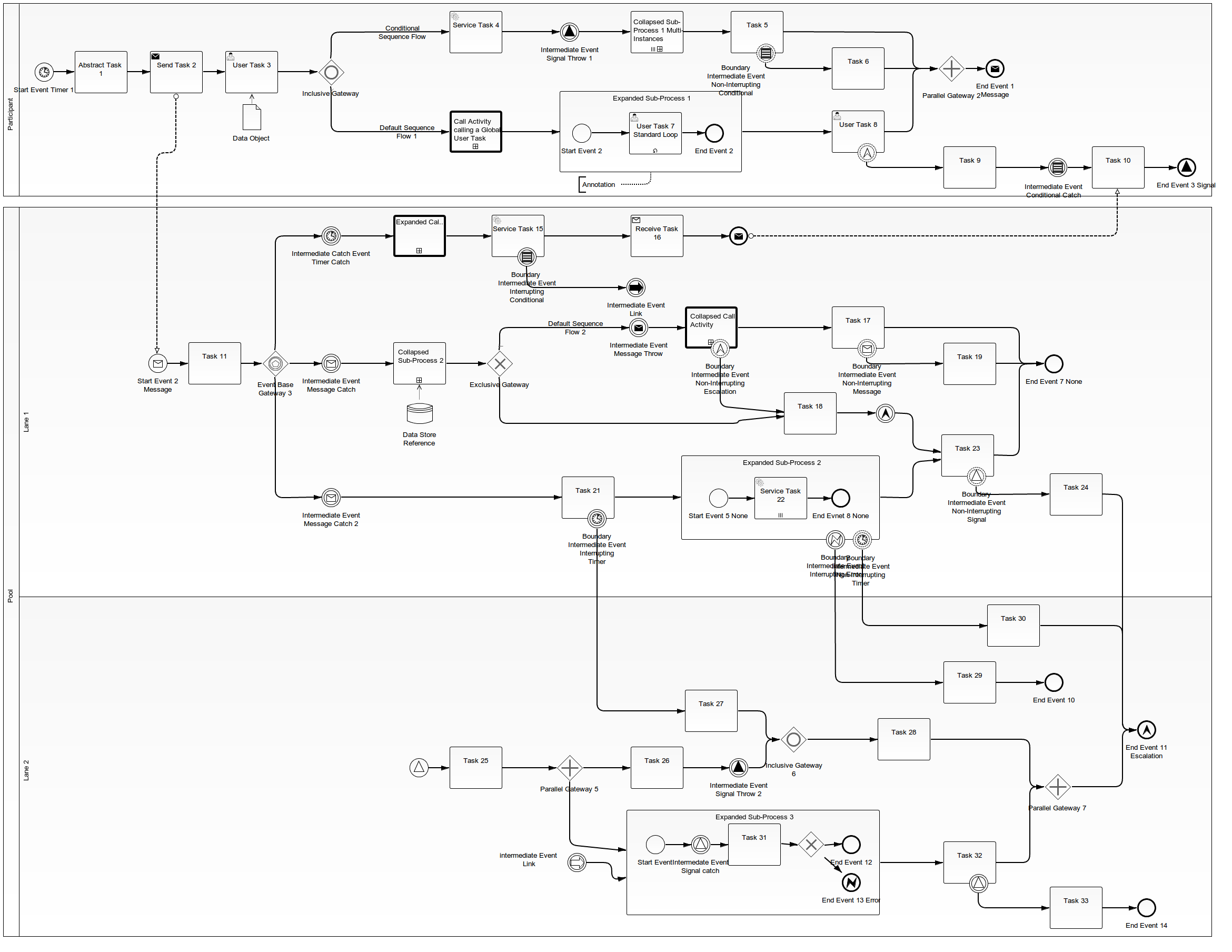
      As a modelling user I can do an auto-layout of the diagram by pressing a button.

      Activiti Designer already has this function, though it is not triggered by a button yet, but on import of a diagram without DI-information:
      https://github.com/Activiti/Activiti/tree/master/modules/activiti-bpmn-layout/src/main/java/org/activiti/bpmn

        This is the controller panel for Smart Panels app

              Assignee:
              Robert Gimbel
              Reporter:
              Marvin Ludwig
              Votes:
              2 Vote for this issue
              Watchers:
              7 Start watching this issue

                Created:
                Updated:
                Resolved: