I can migrate activity instances horizontally

XMLWordPrintable

    • Type: Feature Request
    • Resolution: Won't Fix
    • Priority: L3 - Default
    • None
    • Affects Version/s: None
    • Component/s: engine

      I can migrate an activity instance under another activity instance that is not in the ancestor path to the root activity instance.

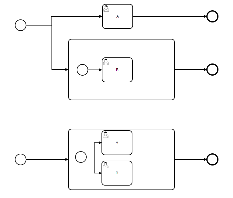
      Example:
      See horizontal_migration.png. The first process definition is mapped to the second, A is mapped to A, B is mapped to B, subprocess is mapped to subprocess.

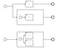
      Current behavior:
      See horizontal_migration2.png. There are two instances of the subprocess.

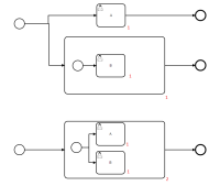
      Expected behavior:
      See horizontal_migration3.png. There should be a way to determine that the instance of A becomes a child of the existing subprocess instance. Note that this may require to select amongst a larger set of suitable subprocess instances.

      Note: this behavior should be optional in addition to the current behavior.

            Assignee:
            Unassigned
            Reporter:
            Thorben Lindhauer
            Votes:
            0 Vote for this issue
            Watchers:
            1 Start watching this issue

              Created:
              Updated:
              Resolved: